联系我们
- 上海耐创测试技术有限公司
- 联系人:陈工
- 电话:021-39197548
- 邮箱:zhujing@nai-chuang.com.cn
- 地址:上海市嘉定区马陆镇宝安公路2999弄东方慧谷50号2层

GNR X射线荧光光谱仪
文章出处:未知人气:发表时间:2017-09-11 13:52:04
GNR X射线荧光光谱仪


-
XP应用领域
手持式光谱仪,不锈钢、中低合金钢、工具钢、高锰钢的现场快速检测
ROHS分析
镀层测厚的检测
小样品、特殊尺寸样品及线材的检测
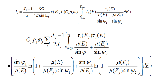
谢尔曼基本参数法GNR最新推出的谢尔曼基本参数法可以精确计算各类样品中每个元素的谱图变化,做到最精密的校准。 谢尔曼基本参数法是通过大量测试数据,拟合元素之间的关联,从而用数学算法计算出样品结果。谢尔曼基本参数法算法方程式: -














沪公网安备 31011402003414号